
La recuperación del centro de detención de la entidad federal dejó un saldo de 39 reclusos muertos.

Las autoridades colombianas recuperaron este viernes el sexto cuerpo de las diez personas desaparecidas desde el martes, cuando dos embarcaciones naufragaron en el río Orinoco cerca de la frontera entre Colombia y Venezuela, informaron fuentes castrenses y de socorro en un comunicado.

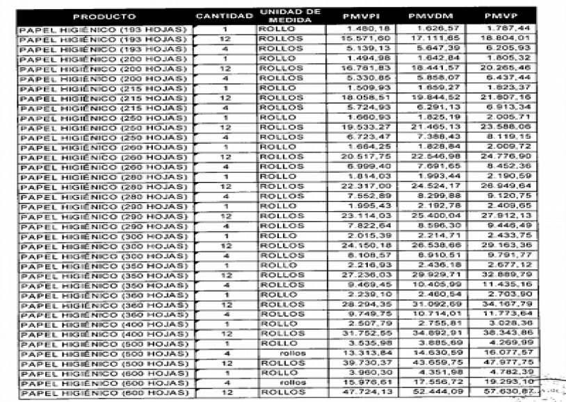
La Superintendencia para la Defensa de los Derechos Socioeconómicos (Sundde) publicó este viernes los nuevos precios acordados de cuatro productos de higiene personal, que forman parte de los 50 tipos de artículos que sufrirán actualizaciones en sus costos.

NACIONALES
--Comisión de Comunicación de la ANC se desplegó para defender Ley de Precios Acordados
---Nuevo fenómeno natural "La Niña" ocasionará lluvias en el país
--ANC juramentó a la Federación Venezolana de Estudiantes de Educación Media
--Gobierno garantizará entrega de "Bono Niño Jesús" a partir de Diciembre
--Saime suspendió citas para pasaportes hasta nuevo aviso
REGIONALES.
--Con masiva participación se desarrolló actividad corazón llanero en amazonas, desde el muelle de Puerto Ayacucho.
--El día de ayer se acabó el material en el operativo “Pon al día tu carro y tú moto al día”.
--Obrero y docentes se reunieron con el ejecutivo, después de una asamblea.
-Fatal accidente en motocicleta, deja una persona fallecida en la Av. aeropuerto.

Foto Referencia.
(Waka Noticias 24/11/17)Extraoficialmente pudimos conocer, directamente de un pasajero a bordo, que la unidad autobusera que partió la tarde de este jueves, desde el terminal Melicio Perez, de esta ciudad de Puerto Ayacucho, con destino Maracay-Valencia, volcó a aproximadamente a 20 minutos de calabozo, cercano a una granja.

Puerto Ayacucho.- Sin asistencia del presentador Winston Vallenilla y los cantantes prometidos al Pueblo amazonense Reinaldo Armas y Armando Martínez fue el máximo evento de la música llanera en Amazonas este jueves.

Funcionarios del CICPC y CONAS en Amazonas con armas largas trataron de limitar el trabajo de la Periodista; Nancy Farias, CNP 9629, y corresponsal del Pitazo en Puerto Ayacucho el martes pasado 14 de noviembre de 2017, cuando la comunicadora social estaba cubriendo una información en una estación de gasolina donde se estaba realizando colas de vehículos para surtir.

Los militares abordaron a las mujeres que estaban acompañadas de dos ciudadanos chinos que dirigían red de prostitución internacional.

Por falla en el servidor la pagina web wakanoticias estuvo sin acceso

(Waka Noticias 22/11/17) Hoy a partir de la cinco de la tarde de este jueves 23 de noviembre, en el malecón del muelle de Puerto Ayacucho, se llevará a cabo un espectáculo denominado “Un Corazón llanero” como parte de las festividades del aniversario de la fundación de Puerto Ayacucho, a celebrarse este 9 de diciembre.
En este evento se reunirá diferentes cantantes de la música llanera, entre ellos Reinaldo Armas y Armando Martínez, entre otros agrupaciones, quienes ofrecerán un repertorio de durante la tarde y parte de la noche, para todos los asistentes, así lo indicó Miguel Rodríguez, gobernador del Estado Amazonas.